直动滚子从动件圆柱凸轮CAD
2013-05-26 by:广州有限元分析、培训中心-1CAE.COM 来源:仿真在线
推导了直动从动件圆柱凸轮机构实际廓线的方程。基于Solidworks平台用VBA开发了圆柱凸轮辅助建模软件,根据廓线方程可自动实现圆柱凸轮的精确建模,并为下一步运动仿真和数控加工奠定良好的基础。
空间凸轮机构在自动机械中得到了广泛的应用。与平面凸轮机构相比,空间凸轮机构具有体积小、结构紧凑、刚性好、转动扭矩大等优点。直动从动件圆柱凸轮机构是一种典型的空间凸轮机构。当凸轮转速较低、精度要求不高时,可以把圆柱凸轮看成是由移动凸轮转化而来的,按基圆半径或外圆直径展开成平面矩形,作为平面直动凸轮进行近似计算。但是随着凸轮机构日益向高速方向发展,传统的圆柱凸轮机构的设计方法因误差较大,不得不进行修正,因为,这种展开法不能达到简化计算、提高精度的目的,不能满足企业的实际需要。考虑到圆柱凸轮属于空间凸轮,其理论廓面、实际廓面均为空间曲面,因此,如何构造这些曲面是一个关键问题,国内开展了一些相关研究。随着计算机辅助设计进一步发展,特别是基于特征和参数化技术的三维设计软件的出现,为空间曲面的构造提供了支撑平台。本文来用精确的数学模型建立圆柱凸轮的实际廓线方程,基于Solidworks平台,通过二次开发的手段精确构造实际轮廓曲面,完成了圆柱凸轮的建模,通过实践证明了这种方法的可行性。
1 圆柱凸轮轮廓线的数学模型
对直动从动件圆柱凸轮建立如图1所示的固定坐标系,以Z轴为圆柱凸轮的回转轴线,X轴与从动件处于最低位置时的轴线重合,原点为该轴线与凸轮轴线的交点,Y轴分别垂直于X和Z轴。

  图1中的几何参数有:凸轮圆柱半径为R( +B,
+B, 为圆柱凸轮的基圆柱半径,B为滚子厚度),滚子半径为
为圆柱凸轮的基圆柱半径,B为滚子厚度),滚子半径为 ,从动件的运动规律为
,从动件的运动规律为 ,其中
,其中 为凸轮的转角。
为凸轮的转角。
如图1所示,圆柱滚子直动从动件凸轮机构,圆柱的半径为R,曲线b是圆柱凸轮的理论廓线,曲线a和c是实际廓线,d表示在理论廓线上的滚子圆,根据图示固定坐标系,建立圆柱凸轮理论廓线方程如下:

考虑从动件是滚子的情况,实际轮廓线是圆心位于理论廓线上滚子圆的包络线,其方程为:

对式(2)中的两个方程:
滚子圆的方程为:

  式(3)中 x,y,z为理论廓线上的坐标;从 为滚子圆和实际廓线上的公共点坐标,也是滚子圆和实际廓线的切点坐标。
为滚子圆和实际廓线上的公共点坐标,也是滚子圆和实际廓线的切点坐标。
包络线方程为:

    式(4)中 表示运动规律
表示运动规律 对
对 的导数。
的导数。
由于实际廓线也位于圆柱面上,所以满足下式:

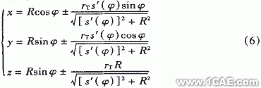
联立以上3式,可得到在圆柱半径为R时的实际廓线的方程:

式(6)可看出,实际廓线有两组,取上面符号表示图1中曲线a,取下面符号表示图1中曲线c。
2 基于SolidworkS平台直动从动件圆柱凸轮建模
2.1 实际廓线的构造
  式(6)是实际廓线的方程,若选定运动规律 ,给定转角
,给定转角 ,可分别计算出基圆柱
,可分别计算出基圆柱 和外圆柱
和外圆柱 上的实际廓线的坐标,如果计算出四组符合精度要求的实际廓线的坐标,分别连接这些坐标成样条曲线。如图2所示,曲线
上的实际廓线的坐标,如果计算出四组符合精度要求的实际廓线的坐标,分别连接这些坐标成样条曲线。如图2所示,曲线 和
和 是外圆柱上的实际廓线,曲线
是外圆柱上的实际廓线,曲线 和
和 是外圆柱上的实际廓线。为了保证实际廓线拟合精度,必须选择足够多的点来构造样条曲线,为此可把计算好的实际廓线的坐标存在文件中,通过Solidworks平台上的XYZ构造曲线的方法来构造样条曲线。
是外圆柱上的实际廓线。为了保证实际廓线拟合精度,必须选择足够多的点来构造样条曲线,为此可把计算好的实际廓线的坐标存在文件中,通过Solidworks平台上的XYZ构造曲线的方法来构造样条曲线。
2.2 实际轮廓曲面的生成
  使用Solidworks平台上切除放样特征,首先在草图平面上绘制放样的截面形状,是一个矩形,矩形的四个点落在实际廓线上,如图2所示,放样时,取矩形为轮廓,4条实际廓线 为引导线,可形成图3所示的实际廓面。
为引导线,可形成图3所示的实际廓面。
3 软件实现
考虑到圆柱凸轮建模过程中有大量的凸轮实际轮廓曲线数据,为了提高效率,采用软件编程对Solidworks软件二次开发的方式来实现。由于程序规模较小,编程的语言采用Solidworks中内嵌的VBA实现。程序流程图见图4。

软件分成两个模块:1)计算模块,主要根据输人参数,确定实际轮廓的曲线的坐标点数据;2)建模模块:主要完成绘制凸轮、实际廓线、切除放样等操作。
以放样操作的编程为例说明:

4 结论
本文通过建立圆柱凸轮实际廓线的方程,在Solidworks平台上构造了凸轮的精确实际廓线,随后通过Solidworks内部命令完成圆柱凸轮的精确建模。通过精确的三维模型,可为下一步运动仿真和数控加工奠定了很好的基础。
相关标签搜索:直动滚子从动件圆柱凸轮CAD Fluent、CFX流体分析 HFSS电磁分析 Ansys培训 Abaqus培训 Autoform培训 有限元培训 Solidworks培训 UG模具培训 PROE培训 运动仿真


 搜索
 搜索


 
