六十一甲子,是一个不算短的阶段。也正是从上世纪五十年代起,我进入力学界,目睹力学学科的发展变化,迄今已经六十年了。
六十年力学发展的回顾
2017-07-03 by:CAE仿真在线 来源:互联网
	
来源:武际可科学网博客
作者:武际可
目下,力学有很多二级、三级子学科,还有数不清的研究方向。在这六十年中,几乎每一门子学科、每一个研究方向都会有研究进展。要一一列举这些研究成果,几乎是不可能的,也是没有必要的。在这里,我想列举在这六十年中,力学中最为激动人心、影响深远的三个研究方向来说说。我认为计算力学的诞生与发展、材料力学的性质研究、力学一些基本理论问题的提出与解决,它们是这六十年中最值得了解而又影响深远的成果。下面就来分别简要地做一回顾。
	
在计算机发明后的早期,用计算机求解力学问题或别的问题仅仅利用了计算机快这一优点。紧接着而来的问题是程序工作量不能适应计算机的高速度。一台计算机需要数以百计的工作人员编程序才能喂饱。于是编写程序又成了合理使用计算机的瓶颈。人们想出了许多方法去解决这一困难。从20世纪50年代先后出现的符号汇编语言、FORTRAN语言、ALGOL语言等以及随之而迅速发展起来的软件产业,就是为解决这一问题应运而生的。
	
在适应于计算机求解力学问题节约程序人力方面,最成功的就是有限元方法的产生与发展。它的产生也是计算力学作为力学一个独立的分支学科形成的标志。
	
有限元法的思想尽管可以追溯得更早,如有人说有限元的思想是20世纪40年代美国人库朗(R. Courant)在1943年提出来的,有人说有限元是加拿大人辛格(J.L. Synge)在40年代提出来的,更有人说有限元是欧拉的折线法就包含的,还有人说在东汉刘徽的割圆术就是有限元法,不一而足。当然这些说法也不是完全没有道理。因为有限元法的思想的确是有一部分同上述人的工作有点联系。但是要知道,有限元法是同计算机紧紧相联系的。
	
事实是,在20世纪50年代中期世界各国都有一批人在思考用计算机求解结构力学与连续介质力学问题。如曾经在英、德工作过的希腊人阿吉里斯(J.H. Argyris)1956年、美国的特纳(M.J. Turner)、克拉夫(R.W. Clough)与马丁(H.C. Mardin)在1956年、苏联的符拉索夫(В.З.Власов)在20世纪50年代、中国的冯康在60年代初都提出了帽子函数插值或单元刚度的矩阵表示。所以很难说有限元的思想是那一个人的发明,它是一种世界性思潮的产物。
	
不过在有限元法的发展历史上的重要事件是,20世纪50年代末加里福尼亚大学伯克利分校的威耳孙(E.L. Wilson,1931-)在克劳夫指导下的博士论文《二维结构的有限元分析》[1],该论文于1963年完成了世界上第一个解决平面弹性力学问题的通用程序。这个程序的主旨是借助于它解算任何平面弹性力学问题不需再编程序了,只要按说明输入必要的描述问题的几何、材料、荷载数据,机器就可以进行计算,并且按照要求输出计算结果。有限元法的程序一经投产,立刻显出它的无比优越性,原来在弹性力学领域内对付平面问题,只有复变函数方法与平面光弹性方法两手,这两种方法在有限元法的对比下便渐渐退出了历史舞台。威耳孙在有限元程序系统方面后来还进行过许多有意义的研究,他编写了有限元的多种单元的程序SAP(Structural Analysis Program),在他的指导下,他的研究生编写了非线性结构分析程序NONSAP,1981年他还最早编写了适应微处理机的程序SAP81。SAP程序经曲圣年、邓成光、吴良芝等移植与修正、SAP81程序经袁明武扩充改造形成独立的版本SAP84,这两个程序在我国工程建设中发挥了重大作用。NONSAP经过美国巴特(Bathe)的改进形成有世界影响的非线性分析程序ADINA。1972年北京大学曲圣年等用汇编语言编的平面问题BD通用程序,在解决许多水工问题中发挥了很大的作用。
	
随后,结构分析的有限元软件迅速发展。包含二维元、三维元、梁单元、杆单元、板单元、壳单元、流体单元等多种单元、能解决弹性、塑性、流变、流体以及温度场、电磁场各种复杂耦合问题的软件以及软件系统不断出现。在10多年内生产与销售有限元软件形成了有相当规模的社会新产业,而且使用有限元法解决实际问题迅速在工程技术部门普及。
	
计算力学的发展,大大改变了工业结构设计的面貌。如果在之前的设计,有百分之九十是靠实验,百分之十靠计算,那么计算力学的发展使情况倒过来,即百分之十靠实验百分之九十靠计算。并且随之而来的无图纸加工、计算机辅助加工等广泛领域的发展,大大改善和加快了设计。
	
计算力学的迅速发展,以及为他所取得的成功所鼓舞,使得一些学者对于计算力学的成就产生了过分乐观的估计。例如在20年前美国就有人说,再过10年风洞就要被计算机代替,20年过去了,计算机还不能取代任何风洞。计算力学所取得的成就,大体上说,对于可以用线性理论来近似的那些问题,靠计算机大部可以较好地解决了,可是对于实质上是非线性的那种力学问题,目前计算机几乎还是无能为力的。
	
从20世纪60年代开始,在结构分析的有限元程序中,逐渐计入非线性项。例如讨论结构材料的塑性性质的,称为物理非线性问题,讨论结构的大变形引起的修正,称为几何非线性问题。最初的计算方案都是采用荷载增量法,即逐步给荷载一个小的增量,求相应的变形增量。大约从20世纪60年代末,人们在实际解题中发现有的问题在荷载达到极大值时计算机总是溢出而停机。这个问题困惑了人们许多年,直到20世纪70年代末80年代初才解决。1971年美国学者温泊纳(G.A. Wempner)、1978年荷兰学者瑞克斯(E. Riks)分别从理论上提出解决这个问题的方法,20世纪80年代初人们在程序上实现了这个方法。这个方法后来被称为弧长法。
	
结构的优化设计是计算力学中一个重要的非线性研究领域,它的主要目的是在满足一系列条件下(这些条件也被称为约束)寻求结构最优参数。通常这类问题是非线性的,而且计算量非常大,只有靠计算机的帮助才能解决。
	
求解非线性问题紧接着而来的是遇到分叉的问题。在有限元的通用程序中,对于结构稳定性的问题,通常是将问题化归于一个特征值问题,它的基础还是线性理论。在用非线性程序来求解时,往往由于遇到分叉而不能前进。这是因为在分叉点结构的总体刚度矩阵退化问题无法继续求解。为了克服这一困难,对于高维系统中的平衡解的静分叉以及霍普夫分叉,人们又发展了一系列的方法,但是在实践上还不能说已经彻底解决了。这方面的总结可参阅武际可与苏先樾著的《弹性系统的稳定性》一书(科学出版社,1994年)。关于高维系统的同宿轨道与异宿轨道的计算,以及高维系统向混沌转化的计算,迄今仍是难题。
	
20世纪人类经历了一次材料革命。各种新的高强度合金材料、高分子材料、陶瓷材料,复合材料出现,提出了大量新的力学课题。
	
高强度材料出现后,出现的第一个问题,就是高强度材料的破坏大都是脆断,而且强度极限比较分散。在以往以软钢为主要结构材料的时候,材料的屈服,能够使超静定结构的应力重新分布,使各个结构元件的受力更合理,而一个高强度构件的脆断却能够导致整个结构的破坏,有许多事故警告人们需要制定和修订适应新材料的设计规范。
	
在多种新材料出现后,人们提出的新问题是如何把这些新材料的优点结合起来克服各自的缺点。如对耐高温又强度高的陶瓷材料的增韧问题,对高分子材料增强刚度的问题等等。
	
于是在这些新的需求下,围绕改进材料开展了一系列的新的研究方向。研究对新材料材料性质的测量方法、无损探伤的方法、适应新材料的加工技术的研究之外,还开展了理论方面的研究。断裂力学、复合材料力学、界面强度问题、腐蚀强度问题、材料的损伤与寿命问题等等,吸引了大量研究工作。
	
在材料力学性质研究中,最应当提到的是四个基础性的研究[2]-[5],即1909年卡拉索夫关于具有椭圆孔无限平面问题的复变函数解;1920年格里菲斯关于玻璃棒强度与具有裂纹的解释;1934年泰勒关于位错的研究,以及1957年艾舍尔比关于无限弹性体中有椭球夹杂的分析解。这些经典解以及它们的推广和扩充,后来构成了应用于材料强度研究的理论基础。
	
由于这些研究,大大改善了各种结构使用的材料比例,以航空结构来说,到2013年,机身所用的复合材料已占到总体的64.6%,航空发动机复合材料占6.9%,飞行器内部占17.8%。此外采用高强度合金的结构设计得既节约有安全,类似的事故大为减少。
	
在这六十年内有一些重要的突破和发展。我们看到以下几个方面问题的提出与解决。
	
1. KAM定理与稳定性理论的进一步发展[6]
	
一般对于微分方程中含有小参数的项,得到的结论是,解中的小参数解的影响也是微小的。可是对于系统中含有一个小参数的周期扰动,这个系统会不会失去稳定性?这就是200年前拉普拉斯提出来的关于太阳系的稳定性问题,经过庞加莱的定性理论的发展,最后1954年,苏联的著名数学家科尔莫哥罗夫(А.Н.Колмогоров,1903-1987)提出了一个猜想,随后在1963年为他的学生阿诺尔德(В.И.Арнолд)所证明,在略为不同的提法下,1962年为茅扎尔(J.Mozer)所证明。这个猜想现在被广泛地称为科尔莫哥罗夫-阿诺尔德-茅扎尔定理,也就是KAM定理。
	
这个定理涉及哈密尔顿正则方程组解的长期稳定性问题。它不是像李亚普诺夫的稳定性是关于初始条件的扰动后的稳定性问题,所以靠李亚普诺夫的理论不能解决这类问题。这类问题是要考虑施加一个长期的小扰动是否稳定的问题。KAM定理的主要结论是,在一定的条件下,概率为1(即绝大多数)的情形是,原来具有周期解的哈密尔顿的正则方程组在小扰动下对应的解为拟周期解,即只在某个高维的环面内运动。也就是说,系统不稳定的概率为零。根据这个定理解决了当年庞卡莱提出的平面限制性的三体问题的稳定性问题。
	
俄国学者李亚普诺夫在1892年提出了稳定性的精确概念之后,在李亚普诺夫稳定性提法下,这种理论在很多年内没有大的进展。到了20世纪50年代末和60年代初,前苏联学者祖波夫(Zubov)(1957)和莫夫强(A. A. Movchan)(1960)才推广了稳定性的定义。将它推广到对于无限自由度系统,这种推广可以讨论依赖于时间的偏微分方程解的稳定性问题。
	
2. 奇怪吸引子与全局分叉问题
	
也许是庞卡莱与希尔伯特的威望太高了,自从庞卡莱之后,人们虽然认识到周期解的重要意义,但是大量的工作都集中在平面上的动力系统。人们也许认为,平面上的动力系统的极限环或周期解弄清楚了,其他情形大致也便清楚了。
	
静止的黏性流体,当温度不均匀时,比方说当有一层流体,下部温度高,上部温度低,它该怎样运动呢。这个问题,前人已有不少研究。1963年美国麻省理工学院的气象学家洛伦兹(Edward Lorenz)教授发表了一篇论文《确定性非周期流》[7]这篇文章,将前人关于大气对流的方程做了很大的简化,他把方程中的速度与温度函数展为级数,仅取三项,于是得到了一组方程:
	
若令方程的左边都为零,可以得到三个稳态解。其中一个表示没有对流,另外两个是平稳对流。式中的常数r,是可以变化的。对于不同的r值,可以讨论这三个解的稳定性。当r小于24.74时,平稳对流状态是稳定的。在临界值24.74处,对流开始,在r取28时,恰好是不稳定对流开始。好了,现在就让r=28,来求解方程。结果,这个仅含两个二次项的方程组,比想象的复杂得多。这个方程也由此而出名,被称为洛伦兹方程。
	
洛伦兹用计算机求解这组方程算了3000步,在开始1000步,有点像周期解,可是到后来便越来越看不出规律,在2000步以后,变为毫无规律的混沌。计算结果在相空间表现为围绕两个环来回转圈子。这种现象被后人称为奇怪吸引子。吸引子,是动力系统的解在时间t趋于无限增长时解的极限集合。在洛伦兹之前,人们由于只了解平面上的运动,对吸引子的了解仅限于平衡点、极限环等少数类型。由于洛伦兹方程的引进,使人们看到了以前没有见过的吸引子,所以称为奇怪吸引子。
	
混沌,是一个确定性的动力系统在一定条件下它的解转化为无规则行为的现象,洛伦兹奇怪吸引子是最早发现的一类向混沌转化的例子。后来有越来越多的人研究混沌。有一个阶段形成热潮。其所以受到重视,是由于混沌的发现,在人类对客观规律的认识上,来了一个飞跃。自从1812年,拉普拉斯在他的《概率分析理论》明确提出确定论的哲学观点之后,一般人认为在力学范围内,运动是确定的。在20世纪初量子力学产生后,人们改变了看法,认为在微观世界里,确定论不对,但是在宏观力学中,确定论还是绝对正确的。现在人们开始认识到在经典力学的范围内也可以出现随机现象。所以人们把混沌的发现认为是科学在20世纪的重大进展。
	
一个依赖于参数的动力系统,在参数的某些取值下,会产生奇怪吸引子,或者会产生解曲线的全局性的性质变化,这也可以认为是一种分叉,称为全局分叉。
	
3. 孤立波的研究
	
孤立波最早的记载是英国学者罗素(Schott Russell)在1834年于英格兰爱丁堡到格拉斯哥的联合运河上发现的。当运河启闭闸门时产生了一个波,他骑着马一直追赶了1.5英里这个波并未变形。罗素于1840年发表了一篇论文,在论文中他最早使用了孤立波这一名词,并预言了这种孤立波的传播速度为:
	
其中g为重力加速度,h为为扰动的水深,k为波高。罗素的文章后来引起了争论,布森涅斯克(Joseph Velenti Boussinesq,1842-1929)于1871-1872年发表文章表示支持,英国的天文学家艾里(George Biddell Airy,1801-1892)与流体力学家斯托克斯都发表文章表示反对。最后英国科学家瑞丽(John William Strut Rayleigh,1842-1919)于1876年发表《孤立波》的文章才以肯定的结论终止了这场争论。
	
1895年荷兰科学家科尔泰沃赫(D·J·Korteweg)与德弗里斯(G.de Vries)在1895年给出了浅水波方程:
	
现今称为KdV方程,并且给出了一个精确的行波解。
	
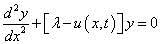
进入20世纪后,在很长的时间里,孤立波几乎被忘掉了。20世纪50年代以来,发现在等离子体内可以有孤立波传播[8],又发现在连续的非线性振动系统中会有孤立波现象。由此引起了广泛的关注。后来美国数学家拉克斯(P.Lax)于1968年又证明了对于二阶方程:
	
	
且y在两个端点为零,当u(x,t)满足KdV方程时,所对应的特征值λ是同一个。这就是所谓的特征值的逆问题。由此引起量子力学、非线性方程的积分求解、以及积分变换等研究方向之间的联系与有关数学、力学、物理学更广泛的兴趣。一些研究湍流的学者认为中的涡的运动有可能具有孤立波的性质。探讨孤立波也许为揭开湍流的秘密开辟另一条路。
	
在回顾了力学六十年的重大进展后,有一点感想写在下面。
	
人们当事后诸葛亮总是比较容易的,在六十年之后来看力学的进展,对于重要不重要、影响大小,一般都能够给出差不多的评估。可是要在六十年之前去预测以后的发展,就很难准确了。这就像对画了一条曲线要对它评论,什么地方是极大、极小,什么地方是拐点,一清二楚,可是要是有人在画曲线之前,我们要猜出他画的曲线的特点,这就难了。即使你绝顶聪明,对他画曲线的习惯有一定了解,也很难猜得很准确。所以对科学技术发展的预言,也一样,是有一定的难度的。
	
恰好在六十年以前,1957年,钱学森先生在《科学通报》上发表了一篇文章:《论技术科学》。文章开始讲了一些技术科学的定义、基础学科与技术学科的关系、技术科学的研究方法的一般性的论述,作者并且认为力学是属于技术科学的。文章最后提出了一些值得关注的研究方向,其中属于力学范围的有:化学流体力学、物理力学、电磁流体力学、流变学、土和岩石力学。后来力学学科的发展,这些方向虽然也都有所进展,但没有一个是前述世界性关注并且影响深远和全局有关的方向。钱先生是我国著名的力学家,他的预测尚且不能和后来的发展相符合,可见预测科技发展是有难度的。
	
不过中国之大,还是会有人预测得比较准的,北京大学的董铁宝教授,1956年回国,回国时,特别带回1920年格里菲斯关于玻璃棒强度研究的缩微胶卷,回国后又开设金属的力学性质课,并且最早指导学生做断裂力学方面的毕业论文;1958年北大固体力学大部分教师下放劳动,他安排笔者对高年级开设结构力学课,并且告诉笔者要注意国外利用矩阵表示的结构力学方向,当时笔者刚毕业,并没有体会先生的意思,直到“文革”后笔者投入计算力学的教学与研究,才意识到董先生说的就是计算力学早期的表述形式。啊,董先生在学科上够得上是一位先知先觉的学者了,前面我总结的六十年影响深远的三大方向,他就抓住了两个。可惜在“文革中”被整,含冤而死,他的死是北大,也是力学界的重大损失。
	
王羲之在《兰亭序》中说“后之视今亦犹今之视昔”,对以往的六十年的预测和总结,已经是昔日之事,那么,今后六十年怎样呢?我们能不能预测一下力学的今后六十年的发展,用文字记下来,看六十年后的人看到的事情与我们的预测相合的有多少。
	
参考文献
	
- 
		
Wilson,E.L., “Finite Element Analysis of Two-DimensionalStructures”UCB/SESM Report 63-2, University of California, Berkeley, June1963(Also D. Eng. Dissertation).
 - 
		
Г.В.Колосов,Об одном приложений теории функций комплексногопеременного в плоской задаче математитеской теории упругости,1909
 - 
		
Alan Arnold Griffith,The Phenomena of Rupture and Flow in Solids)1920年刊于Philos. Trans. R. Soc. London A(221, 163)
 - 
		
Sir Geoffrey IngramTaylor, The Mechanism ofPlastic Deformation of Crystals,Part I、II,1934年发表于Proceedings ofthe Royal Society of London. Series A, Containing Papers of a Mathematical andPhysical Character Vol. 145, No. 855 (Jul. 2, 1934), Part I,pp. 362-387 ;Part II,pp. 388-404
 - 
		
J.D.Eshelby, The determination of the elastic field of an ellipsoidal inclusion,andrelated problems,FRS,Received 1957,3,1
 - 
		
A.N.Kolmogorov The Gerneral Theory ofDynamical Systems and Clasical Mechanics1954年在阿姆斯特丹召开的国际数学家大会上,柯尔莫哥洛夫所做一小时报告。
 - 
		
Edward Norton Lorenz,,Deterministic Nonperiodic FlowJournal of the Atmospheric Sciences20 (2): 130–141. 1963
 - 
		
Norman J. Zabusky, Interaction of “Solitons” in a Collisionless Plasma and the Recurrence ofInitial States Phys. Rev.1965,15:240-243
 
	
相关标签搜索:六十年力学发展的回顾 Ansys有限元培训 Ansys workbench培训 ansys视频教程 ansys workbench教程 ansys APDL经典教程 ansys资料下载 ansys技术咨询 ansys基础知识 ansys代做 Fluent、CFX流体分析 HFSS电磁分析 Abaqus培训




